Related Post
Học phí các Khóa học về tự nhiên
Học phí các Khóa học về tự nhiên, các lớp bậc cao đẳng, đại học, trung học cơ sở, trung học phổ thông
Khóa học về nông nghiệp & môi trường sinh thái
Khóa học về nông nghiệp & môi trường sinh thái, các lớp kĩ thuật trồng nấm, nông nghiệp thủy canh, khóa học nông nghiệp Việt Gap, Khóa học nông nghiệp Aquaponic
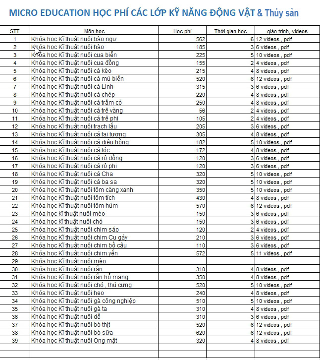
Học phí Khóa học về động vật & thủy sản
Học phí Khóa học về động vật & thủy sản, học phí các lớp kỹ thuật nuôi thủy sản, kĩ thuật nuôi bào ngư, kĩ thuật nuôi cá, kĩ thuật nuôi mèo, kĩ thuật nuôi chó
Học phí Khóa học về công nghệ
Khóa học về công nghệ. học phí các lớp thiết kế Web, lập trình hệ thống, lập trình chip, tin học căn bản. photoshop, Autocad, Excel, Word, Corel draw
Học phí Khóa học quản lí , kinh doanh
Khóa học quản lí , kinh doanh, học phí các lớp phân tích xu hướng ra quyết định đám đông, tâm lí hành vi, quản lí chất lượng dịch vụ, phân tích & quản lí tài chính
Học phí Khóa học kĩ năng nghề ngắn hạn
Khóa học kĩ năng nghề ngắn hạn, học phí các lớp xây dựng, thợ mộc, lát gạch, phân tích & nếm thức ăn, đầu bếp á âu, make up,spa, nail, làm bánh
Khóa học kĩ năng văn phòng và Khóa học văn hóa cộng đồng
Khóa học kĩ năng văn phòng và Khóa học văn hóa cộng đồng
